23 December 2016

Vehicle Break & Enter


Sturgeon Valley - During the night of Dec 21 to the morning of Dec 22 someone broke into a car in the Sturgeon Valley area and took a brief case from the vehicle.  Please watch for a leather bound brief case in the ditches, side roads and common garbage dump spots as the owner would like that item back.
 
Please lock your cars, garages, grain bins, fuel caps and diesel and gas farm tanks! Please hide or remove valuables from sight and lets try to have a Merry Christmas!
 
If you have any information in respect to the above, please call the Morinville RCMP at 780-939-4550 or Toll Free at 780-459-7689.








SRCWA #2016-123

This message is made possible by the Sturgeon Rural Crime Watch Association in partnership with the Morinville RCMP.

If you have any information in respect to any crime or criminal activity, please call the Morinville RCMP at 
780-939-4550 or Toll Free at 780-459-7689.

21 December 2016

Residential Break & Enter

At approximately 2:00 a.m. on the morning of December 3rd, 2016, an unknown person entered through an unlocked front entrance of a residence in the area of Sandy Beach in Sturgeon County. The residents were home at the time and were awoken to the sounds of their dogs barking.
 
Although the culprit appeared to be deterred by the barking dogs, the unidentified person did manage to steal a purse and sets of keys.
 
The residents attempted to track the culprit while calling 911. Police attended immediately, and although one set of vehicle keys were recovered nearby, the culprit, nor the other stolen items were located. No suspects have been identified at this time.
 
Police are reminding all residents to ensure their homes are secured whether at home or away, and to avoid leaving valuable items within easy and visible reach. As well, outdoor lighting, including motion lights are recommended as an added deterrent against potential break-ins.
 
Please contact the Morinville RCMP (780-939-4550) if any information relating to this event, or any similar event is known.







SRCWA #2016-122

This message is made possible by the Sturgeon Rural Crime Watch Association in partnership with the Morinville RCMP.

If you have any information in respect to any crime or criminal activity, please call the Morinville RCMP at 
780-939-4550 or Toll Free at 780-459-7689.

18 December 2016

Rural Break & Enter Interrupted by Home Owner

On December 16, 2016 at 14:13 hours a residence on Township 570 between Range Road 251 and 252 was broken into. The home owner was working in his home office when he heard footsteps and the rustling of bags. The homeowners wife had gone out Christmas shopping so he passed the noise off as his wife arriving home. 7-10 minutes later the homeowner came out of his office to greet his wife when he discovered Suspect 1 exiting a bedroom with a bottle of liquor. When confronted Suspect 1 stated, "Is this Jeff's place?" Suspect 1 went on to say he was supposed to be doing "some work" at Jeff's place.  Oddly enough the bedroom Suspect 1 was exiting housed the family's Christmas gifts that were waiting to be gift wrapped. Suspect 1 was escorted out of the house at which time the homeowner observed a newer model light blue coloured GMC pick up truck in his driveway.  Suspect 2 was seated in the drivers seat. The driver backed out of the driveway to prevent a licence plate from being obtained.  It is believed the suspects thought nobody was home and may have knocked at the door prior to gaining entry.
 
Suspect 1
 
Caucasian male 5'9"-5'10" tall, mid 30's, heavy set, scruffy beard, thick dark hair unkept and coming over ears, unkept appearance
 
Suspect 2
 
Caucasian male late 40's early 50's, long salt and pepper beard that hung down to top of chest, heavy build, unkept appearance



-------------------------------------------------------------------------------
On December 13th, 2016 there were two residences that were forcibly entered while the home owners were away during the day in the area of Highway 633 and Range Road 271.  The two residences were located within a short distance of one another.  In both occurrences the garage door was pried open and then the master bedroom targeted.  There was a firearm stolen from the bedroom closet. There are no suspects at this time, however it is believed they used a vehicle as they are in a rural location. 
 
Any information can be referenced to Morinville RCMP file number 20161636036.






SRCWA #2016-121

This message is made possible by the Sturgeon Rural Crime Watch Association in partnership with the Morinville RCMP.

If you have any information in respect to any crime or criminal activity, please call the Morinville RCMP at 
780-939-4550 or Toll Free at 780-459-7689.

17 December 2016

December President's Feature

Hi Everyone,

The following is an update of all that has happened since our November meeting. November 17th, Colleen, Bonny, Norm and I attended the free Wellness Workshop presented by Sturgeon County.  Jody Urquhart was the guest speaker and she spoke on being positive, volunteering and laughter in a person’s life. The evening was well attended by volunteers from various groups.

November 25th Norm, Ken and I met with Roger Miller from Northwest Redwater Partnership. Ken had thought it would be in their best interests to become members of SRCWA. Redwater is within the Sturgeon County boundaries but not within the SRCWA boundaries.  Therefore, they are part of the Redwater Crime Watch Association.  Nonetheless, it was a good informative meeting.  As you have seen in the Journal, social media and local papers, there have been a number of articles on the Northwest Redwater Partnership.  The articles were interesting and informative and have given us the opportunity to learn what is going on with this massive project.

The Legal Chamber of Commerce Trade/Craft show was held on December 3rd. Our table was manned by Colleen, and Legal Zone 12 Directors Ricky and Forest.  Five new memberships were sold. Well done by all of you.  

December 13 was our Christmas Potluck dinner.  A very nice way to start the Christmas season and was attended by 23 members. There is very little time to socialize at our monthly meetings so this gives us an opportunity to actually visit.

Thank you to Shelly and Gwen from Sturgeon County and Dolly (SRCWA) for the SRCWA ad that was published in the Free Press and Redwater Review on December 13th. The ad looks great.  It is a Community Services Initiative provided by Sturgeon County to give free advertisement for non-profit volunteer groups.

On December 15, a number of our members attended the Candy Cane Check. On November 28th, nine members (and guests) added our brochure to the goody bags we gave out to the motorists.  Thank you to Patrick Tighe for printing the brochures at no cost to us and to the members for helping. 

Christmas is coming and with that there will be gifts of electronics. The young 4H members recycle electronics so if you have any to recycle contact a group in your area or you can contact Colleen or Margaret at sturgeonrcwa@gmail.com.

As you have read in the local papers and from fan outs from the RCMP there is an increase in criminal activity in the county and towns.  I am reminding everyone that it is solely our responsibility to be sure our homes (doors and windows) and vehicles are locked, that there is proper lighting around our homes, that we pick up the mail, hide your valuables when you are out shopping, and do anything else that would make it less easy for criminals. The onus is on us to be accountable for our property. It will be too late when we find that we have had our property broken into and precious mementos and possessions have been stolen. We cannot prevent all crimes but at least we can do our part by being pro-active. Please be vigilant and report any suspicious activity to the RCMP. 

In addition to several events we attend, I also had the opportunity to speak with the RCMP at the Redwater Seniors Workshop and the Legal CWL. I gave a presentation about SRCWA at the Division meeting in Calahoo and the Rotary Club.  The support of my board at all of these meetings has been excellent.  I want to take this opportunity to thank my board and executive for doing a great job – you all make my job so much easier.

The board and executive of SRCWA had a good productive year. Since the beginning of 2016, our zone directors have updated all of our members and from January 1 to December 9 we have 44 new members. Our membership now numbers 771 active members and continues to increase.  There is strength and safety in numbers and now we have that many more “eyes and ears” in our communities.

County Councillors, Susan Evans, Patrick Tighe, Mayor Flynn and Cecile and various county staff have been involved in SRCWA activities and very supportive. We thank you for that.

We are ending the year 2016 on a positive note and look forward to 2017 being another great year.  If you have any questions or concerns please contact me at sturgeonrcwa@gmail.com, I would love to hear from you.           

Merry Christmas and Happy New Year!

Francoise Meunier

President Sturgeon Rural Crime Watch Association



 


SRCWA #2016-120

This message is made possible by the Sturgeon Rural Crime Watch Association in partnership with the Morinville RCMP.

If you have any information in respect to any crime or criminal activity, please call the Morinville RCMP at 
780-939-4550 or Toll Free at 780-459-7689.

15 December 2016

Morinville RCMP Still Investigating Home Invasion


submitted by Morinville RCMP via Morinville News


On Saturday, October 29, 2016 at approximately 6:50 p.m., Morinville RCMP responded to a report of a home invasion in which the homeowner was assaulted with a weapon on 97 Avenue in Morinville.


The lone suspect entered the residence via the front door which was not locked. The suspect was not known to the homeowner who confronted him before being assaulted. The suspect fled from the residence on foot, or perhaps in a vehicle waiting nearby. The suspect’s intentions are unknown as he did not make any demands and did not have the opportunity to take anything from the residence.


The suspect is described as being a black male, approximate age between 18 years and early twenties, thin build and about 5-foot-eight-inches in height. The suspect was wearing blue jeans, a grey hoodie with the hood up, and black gloves.


Below is a composite sketch of the suspect.


If you have any information, please call the Morinville RCMP at 780-939-4520. If you wish to remain anonymous, you can contact Crime Stoppers by phone at 1-800-222-8477 (TIPS), or by Internet at www.tipsubmit.com. You do not have to reveal your identity to Crime Stoppers and if you provide information to Crime Stoppers that leads to an arrest you may be eligible for a cash reward.














SRCWA #2016-119

This message is made possible by the Sturgeon Rural Crime Watch Association in partnership with the Morinville RCMP.

If you have any information in respect to any crime or criminal activity, please call the Morinville RCMP at 
780-939-4550 or Toll Free at 780-459-7689.

12 December 2016

Mailbox Break & Enter

Sturgeon County, AB - The RCMP advise that recently several mailboxes have been broken into and several compartments damaged.  Notification was received from Canada Post December 12, 2016.    Please pick up your mail on a daily basis and if you see something suspicious, call RCMP.
 
 
 
 
SRCWA #2016-118

This message is made possible by the Sturgeon Rural Crime Watch Association in partnership with the Morinville RCMP.

If you have any information in respect to any crime or criminal activity, please call the Morinville RCMP at 
780-939-4550 or Toll Free at 780-459-7689.

8 December 2016

Seasons Greetings from SRCWA












SRCWA #2016-117

This message is made possible by the Sturgeon Rural Crime Watch Association in partnership with the Morinville RCMP.

If you have any information in respect to any crime or criminal activity, please call the Morinville RCMP at 
780-939-4550 or Toll Free at 780-459-7689.

1 December 2016

Annual potluck & Recruiting Zone Directors

Hi Everyone,

Our next meeting date is Tuesday December 13th - our Annual Christmas Potluck Dinner.  It will be at the Provincial Building in Morinville in the meeting room.  There will not be a meeting that evening but rather a dinner and a chance to visit. You are welcome to come and please bring your favorite dish to share.  The turkey and ham are provided by SRCWA.

The doors will be open at 6:00 and dinner will be at 6:30.

---------------------------------


We are also recruiting for some SRCWA positions.  The following is the current list of Zone Directors for SRCWA. We recently updated all of our member information.  Ideally we would like to have two zone directors for each zone and would like to fill positions for the four zone directors that are vacant including the communications director. 

The positions require attendance at monthly meetings (no meetings in July and August) and an otherwise low commitment (generally acting as a liaison, primarily via email).  Please contact me (or your zone director) at sturgeonrcwa@gmail.com  for more information. 

We look forward to meeting new volunteers to join our team!

Zone 1             Wilfred and Margaret Romanowski
Zone 2              John Dowler and Ursula Schnelle


Zone 3             Ken Okerman
                        Viviane Pezer and Herman Weidle
Zone 4             Louis Belanger


Zone 5             Riviere Qui Barre – currently vacant -The area is approximately Hwy 642 to Hwy 37 and RR 11 to RR 260


Zone 6             Alcomdale/Mearns – currently vacant – The area is approximately TWP RD 572 to Hwy 642 and RR 12 to RR 260


Zone 7               Norm and Francoise Meunier Zone 8                Colleen Prefontaine


Zone 9               currently vacant – The area is approximately Hwy 28 to Hwy 37 and RR 243 to RR 233


Zone 11           Helena Chapman
Zone 12           Forest Tillapaugh                          Ricky deChamplain


Zone 13 & 14  Bonny Swart-Attwood
Zone 16           Lucie Roy


Note there is no zone 10 or 15.


Poster Contest Coordinator    Dolly Bolen
Communications Director – temporarily being handled by other members

Membership Chairperson – Viv Pezer


If you have any questions please contact me at sturgeonrcwa@gmail.com
Thank you,
Francoise Meunier
President Sturgeon Rural Crime Watch Association











SRCWA #2016-116

This message is made possible by the Sturgeon Rural Crime Watch Association in partnership with the Morinville RCMP.

If you have any information in respect to any crime or criminal activity, please call the Morinville RCMP at 
780-939-4550 or Toll Free at 780-459-7689.

25 November 2016

Violation Ticket email SCAM

RCMP would like to inform residents of an E-mail scam that is resurfacing.
 
The traffic violation email scam continues. Please know that Police and Peace Officers do not issue violation tickets by e-mail. Do not click on the link or attachment in these e-mails, just delete the email.
 
If you receive one of these suspicious e-mails:
Report it to the Canadian Anti-Fraud Centre. www.antifraudcenter.ca or 1-888-495-8501
If you received one of these suspicious e-mails and you unwittingly provided personal information or financial information, follow these steps:

How to prevent

  • Be suspicious of any e-mail or text message containing urgent requests for personal or financial information (financial institutions and credit card companies normally will not use e-mail to confirm an existing client's information).
  • Contact the organization by using a telephone number from a credible source such as a phone book, previous bill or statement.
  • Never e-mail personal or financial information.
  • Avoid embedded links in an e-mail claiming to bring you to a secure site.
  • Get in the habit of looking at a website's address line and verify if it displays something different from the address mentioned in the email.
  • Regularly update your computer protection with anti-virus software, spyware filters, e-mail filters and firewall programs.
  • A number of legitimate companies and financial institutions that have been targeted by phishing schemes have published contact information for reporting possible phishing e-mails as well as online notices about how their customers can recognize and protect themselves from phishing.
  • Regularly check your bank, credit and debit card statements to ensure that all transactions are legitimate.




SRCWA #2016-115

This message is made possible by the Sturgeon Rural Crime Watch Association in partnership with the Morinville RCMP.

If you have any information in respect to any crime or criminal activity, please call the Morinville RCMP at 
780-939-4550 or Toll Free at 780-459-7689.

21 November 2016

Attempted Residential Break & Enter, Alcomdale B & E and Mischief

Sturgeon County, AB - During the afternoon of Saturday, November 19th 2016, in the area of Rge Rd 255 between Twp Rd 552 & 554, a resident returned home to his rural property after having been away for a short period of time. Upon his return, evidence of an attempted break & enter were found. Pry marks were apparent on one of the doors, as was a removed window screen. Fortunately, suspect(s) did not gain entry and nothing was stolen.
 
Morinville RCMP ask that all homeowners and residents be aware of any suspicious persons or activity in and around their homes, and to report it immediately to the RCMP.
 
Furthermore, RCMP ask that everyone ensure their homes are locked and well protected when absent for any period of time. The Morinville Detachment can also be contacted for any tips and advice about residential crime prevention.

--------------------------------------------------------

Alcomdale, AB - Sometime between November 13th and 15th, 2016, the vegetable stand/store situated at Hwy 44 south of Alcomdale and operated by members of the Morinville Hutterite Colony was broken into.
 
Unknown suspect(s) kicked in the front door and stole cash, and cash equipment including cash registers and a debit terminal.
 
In light of a recent increase in similar crime occurring in and around Sturgeon County, Morinville RCMP are encouraging members of the public to continue their vigilance by reporting any suspicious activity.

--------------------------------------------------------

Morinville, AB - Sometime between October 28th and 29th, 2016, suspect(s) got inside a locked fenced compound and destroyed windows and lights on four vehicles stored on an industrial lot and the doors were left open. They also destroyed the windows in two cars and three heavy duty work trucks.  RCMP have no suspect at this point.  RCMP File Number: 2016-1436977

--------------------------------------------------------


SRCWA #2016-114

This message is made possible by the Sturgeon Rural Crime Watch Association in partnership with the Morinville RCMP.

If you have any information in respect to any crime or criminal activity, please call the Morinville RCMP at 
780-939-4550 or Toll Free at 780-459-7689.

17 November 2016

Break & Enter - Alcomdale

Sometime between the 14th and 16th of November 2016 unknown parties broke into the Falls Fertilizer storage facility. Although no items were taken damage was done to several doors and an office.


This type of crime seems to be on the rise in that area of Sturgeon County and RCMP are hoping that the public can be slightly more vigilant.


Please call in any suspicious activity. 
Morinville RCMP: 780-939-4550 or Toll Free: 780-459-7689.
 










SRCWA #2016-113

This message is made possible by the Sturgeon Rural Crime Watch Association in partnership with the Morinville RCMP.

If you have any information in respect to any crime or criminal activity, please call the Morinville RCMP at 
780-939-4550 or Toll Free at 780-459-7689.



IN CASE OF EMERGENCY, PLEASE CALL 9-1-1.

Theft of Christmas Decorations


Sometime between the 13th and 14th of November a large Christmas decoration was stolen from a property in Bon Accord. See attached photos.
 
The items is described as an "animated reindeer" and was placed on the lawn of the home.
 
RCMP note it is disheartening to see this type of crime.
 
Please contact Cst. Dalton ROUSE at Morinville RCMP (780-939-4520) with any information regarding this matter.

Thank you.


















SRCWA #2016-112

This message is made possible by the Sturgeon Rural Crime Watch Association in partnership with the Morinville RCMP.

If you have any information in respect to any crime or criminal activity, please call the Morinville RCMP at 
780-939-4550 or Toll Free at 780-459-7689.

IN CASE OF EMERGENCY, PLEASE CALL 9-1-1.

11 November 2016

SRCWA President's Report

President’s Report  Nov. 10, 2016

Hi everyone,

Winter had arrived a little soon but at least it was nice for the little ones to go Hallowe’ening … and now fall is back again! Fantastic!

Cpl. Gulash, Cst. Tearle and myself were invited to speak at the Legal CWL on October 12. A number of attendees are already SRCWA members and it appears more will sign up.  Cpl. Gulash and Cst. Tearle were available to answer questions. 

Lucie, our Zone16 Director (Morinville), invited Cst. Tearle and myself to speak at the Rotary Breakfast Meeting on Wednesday October 19th.   Unfortunately, Cst. Tearle was not able to attend. It was a very receptive group and I was very pleased to see so many Rotarians were already SRCWA members. We received good questions and some discussion followed.  We also signed up new members.

I received a note from Patrick Tighe inviting us to give a presentation at the Calahoo Hall on November 2.  Wayne Bokenfohr, the councilor for that area, was hosting a town hall meeting.  Our members, Viv, Ken, Norm and Louis (Zone 4 Director) attended.  It was a good, informative evening and we signed up more members.  Wayne had a great idea – it was to personally meet five of the neighbours that live near him—step back from social media for a bit and actually meet your neighbours.  Now if everyone did that we would have the County covered. Knowing your neighbours goes a long way in crime prevention.  We would all be working towards a common goal of being the eyes and ears of the community.

Again, I will remind you to install your County addresses – they are for emergency services – remember they can’t help you if they can’t find you.

If anyone has a fire permit for April to November 2016 – that date has been extended until December 31, 2016. The new year-round fire permits will be available beginning January 2017.

Dolly, our Poster Contest Coordinator, advised us that the judging was complete for the Poster Contest and the winners had been sent in to the Provincial Board for judging.  There were 29 winners. The Poster Contest Awards Night will be held on our regular meeting night in April.

One of our members has a great idea – as a Thank You or for a housewarming gift for friends (or business) in the County – she buys them a membership to SRCWA. With Christmas coming it might be a great idea as a stocking stuffer or for the family who has everything.  Download the application form from our website and mail in the application with a cheque.  What a great way to have more “eyes and ears” in the community. We have signed up 17 new members since June.

I have written before regarding the fact that there were fewer than 40 members who require phone messages.  The number of members and the prohibitive costs has made the decision to discontinue the service. All of our members have been personally contacted.  The members with no email addresses are seniors – if you receive pertinent information from us please help them out and let them know.

You might be interested to see that the Sturgeon County website has us listed under Protective Services – Related Links and it brings you to our website.  We receive great support from the Councillors and Mayor of the County and really appreciate it.

The Legal Trade/Craft Show is on from 10am – 4pm on Saturday December 3. SRCWA will have a table set up so stop by and say Hi.

Tuesday December 13 is our Christmas Potluck Dinner.  The turkey and ham are provided by SRCWA. I would ask that anyone attending bring along a favorite dish.  Any of our members who would like to join us are more than welcome.  There is no meeting but rather just an evening of good company, good food and good visiting.

The Candy Cane Check, in cooperation with the Town of Morinville, the RCMP and other groups will be held on Thursday December 15th from 2 – 4pm.  I will forward more information as I receive it.

Enjoy the beautiful weather,

Francoise Meunier

President Sturgeon Rural Crime Watch Association














SRCWA #2016-111

This message is made possible by the Sturgeon Rural Crime Watch Association in partnership with the Morinville RCMP.

If you have any information in respect to any crime or criminal activity, please call the Morinville RCMP at 
780-939-4550 or Toll Free at 780-459-7689.

IN CASE OF EMERGENCY, PLEASE CALL 9-1-1.

10 November 2016

Search warrant leads to several chargers for Sturgeon County couple


Stony Plain/Spruce Grove/Enoch RCMP– Search warrant leads to several charges for Sturgeon County couple.
On November 3, 2016, members of the Spruce Grove/ Stony Plain/ Enoch Serious Crimes Unit with Members of the Morinville RCMP executed a Controlled Drugs and Substances Act Search Warrant a rural residence, near Bon Accord in Morinville Detachment's area. Once on the property members furthered their investigation by obtaining a second Search Warrant that enabled them to seize a large amount of stolen property.
During the search police located large quantities of Methamphetamine, cocaine and GHB. The street value of the drugs located is estimated at $262,000.00.
A stolen handgun and other weapons such as tasers, brass knuckles and crossbows were located and seized by RCMP. It is estimated that approximately one hundred thousand dollars in stolen property was also recovered. Some of these items seized included two trucks, 3 enclosed trailers, a holiday trailer, a motorbike and a Honda generator. 
Misty Payne (age 39) and Darcy Payne (age 42) of the Sturgeon County are both facing several counts under the Criminal Code including Possession of a Controlled Substance for the Purpose of Trafficking, Unsafe Storage of a Firearm, and Possession of Stolen Property and numerous breaches of Court Orders. Darcy Payne was released from custody on $20,000 cash bail with conditions of house arrest. Misty Payne was released from custody on $3,000 cash bail with numerous conditions. Both are scheduled to appear in court on November 17, 2016 in Morinville Provincial court. 
Kiel Schreiner (33) was located on the property and was arrested on the strength of outstanding warrants. Further investigation led to Schreiner being arrested and charged with one count of Possession of a Prohibited Weapon. He is scheduled to appear on January 19, 2017 in Morinville Provincial Court.










SRCWA #2016-110

This message is made possible by the Sturgeon Rural Crime Watch Association in partnership with the Morinville RCMP.

If you have any information in respect to any crime or criminal activity, please call the Morinville RCMP at 
780-939-4550 or Toll Free at 780-459-7689.

IN CASE OF EMERGENCY, PLEASE CALL 9-1-1.

3 November 2016

Next SRCWA Meeting - November 8 at 7 pm


The next SRCWA meeting is Tuesday November 8, 2016 at 7:00 p.m. at the Morinville Provincial Building located at 10008-107 Street, Morinville, Alberta.

All members and guests are welcome to attend. Light refreshments are served.










SRCWA #2016-109

This message is made possible by the Sturgeon Rural Crime Watch Association in partnership with the Morinville RCMP.

If you have any information in respect to any crime or criminal activity, please call the Morinville RCMP at 
780-939-4550 or Toll Free at 780-459-7689.

IN CASE OF EMERGENCY, PLEASE CALL 9-1-1.

2 November 2016

Fatality Motor Vehicle Collision

Morinville, AlbertaOn November 1, 2016 at approximately 9:45 a.m., Morinville RCMP and emergency services responded to a serious motor vehicle collision on Highway 44, 23 kilometers north west of Morinville.
 
The driver and lone occupant of a pick-up truck, traveling southbound on Highway 44, lost control, causing it to enter the northbound lane where it was struck by a second, northbound, pick-up truck.
 
The driver of the southbound truck succumbed to her injuries and was pronounced deceased at the scene. 
 
 
Traffic on the north and southbound lanes of Highway 44 was affected until 1:00 p.m. while RCMP conducted their investigation and crews removed debris.
 
Speed and alcohol are not considered to be factors in the incident.  Road conditions at the time were slippery with icy sections.
 
The identity of the deceased is not being released at this time.   Sturgeon County Victim Services is providing assistance to family and friends.
 
Morinville RCMP along with an RCMP Collision Analyst continue to investigate.







SRCWA #2016-108

This message is made possible by the Sturgeon Rural Crime Watch Association in partnership with the Morinville RCMP.

If you have any information in respect to any crime or criminal activity, please call the Morinville RCMP at 
780-939-4550 or Toll Free at 780-459-7689.

IN CASE OF EMERGENCY, PLEASE CALL 9-1-1.

25 October 2016

Residential Break & Enter and New County Burning Bylaw

Namao, AB -  On October 25, 2016 at approximately 09:00 hrs a rural residence near Namao was broken into. Access was gained through an unlocked man door on the garage where two vehicles parked inside were rummaged through. The Subject then broke the deadbolt on another man door connecting the garage to the main home. The Subject was interrupted by the two elderly residence of the home before he gained accessed and he fled the area in a light brown or beige color 1/2 tonne truck.  
 
There are no suspects at this time. Items at the scene have been seized for further examination. Please contact Morinville RCMP if you have any information regarding this crime.



-------------------------------------------------------------------------

 
 
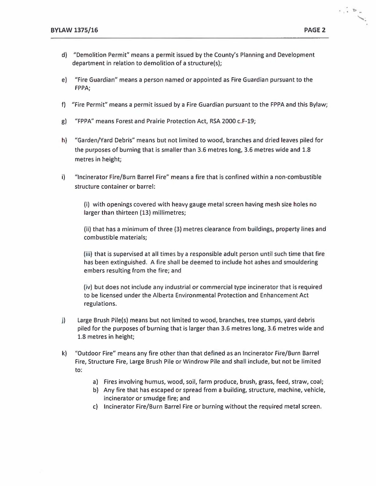
Please find attached a copy of the new burn bylaw 1375/16. Note the following changes:
 
Section 2. Definitions
2.1 a) - Definition of an “Acceptable Fire Pit” (previously referred to as “Approved Fire Pit”)– new points (ii), (v), (vi) and (vii)
d) - “Demolition Permit” - NEW
h) - Definition of “Garden /Yard Debris” – this is now considered a SMALL brush pile and must be smaller than 3.6m x 3.6m x 1.8m (approx 12 x 12 x 6)
j) - Definition of “Large Brush Pile” – larger than above dimensions. Now requires a site inspection (see Section 3.6), can only be burned/permits issued from December 1 through March 31st and are NO LONGER permitted in subdivisions. [see Prohibitions 5.2 a) & b)]**
q) - “Smudge Fire” – no changes but just a reminder that it must be contained in a structure or container and only permitted on parcels 2.47 acres or larger. Also still does not require a permit (see Exemptions 4.5)
u) - “Windrow Pile” – NEW - requires a site inspection (see Section 3.6), can only be burned/permits issued from December 1 through March 31st. Also not permitted in in subdivisions. [see Prohibitions 5.3 a) & b)]**

Section 3. Fire Permits
3.1 – Permits required year round.
3.2 – the words “Fire Advisory” and “Fire Restriction” added.
3.3 – new permit types added and duration
3.5 – obtaining demolition permit from P&D for structures**
3.6 – site inspection for structure fire, large brush pile or windrow fire permits
3.7 – signage posted on roadways warning drivers of smoke – permit holder responsible for all costs
 
Section 4. Exemptions
4.6 – permit not required for flaring
4.7 – permit not required to heat a home during fire advisory/restriction/ban
 
Section 5. Prohibitions
5.1 – no change but just a reminder that burn barrels/incinerators are NOT permitted on lots less than one acre
5.2 a) - burning of large brush pile prohibited in subdivisions
      b) - prohibited except from Dec 1 – March 31
5.3 a) - burning of windrow pile prohibited in subdivisions
      b)_ prohibited except from Dec 1 – March 31               
5.4 – NEW - burning of construction related material in subdivisions is now prohibited. It must be hauled away.
5.11 – now enforceable
5.12 – now enforceable
5.15 – NEW – fires/bonfires now prohibited on Municipal Reserves, Environmental Reserves and natural areas
5.16 – NEW – vehicle fires are now prohibited
5.17 -  NEW - burning is now prohibited in industrial parks














SRCWA #2016-107

This message is made possible by the Sturgeon Rural Crime Watch Association in partnership with the Morinville RCMP.

If you have any information in respect to any crime or criminal activity, please call the Morinville RCMP at 
780-939-4550 or Toll Free at 780-459-7689.

IN CASE OF EMERGENCY, PLEASE CALL 9-1-1.

20 October 2016

New rules for fires


Please note Sturgeon County residents now have to get permits for fires, no matter when they light them, under the region's new burning bylaw.  (Previously, residents did not need a permit for an outdoor fire if they lit it between Nov.1 to March 31.) 


Windrows, construction waste and large brush pile fires are now banned in most residential areas, with burn barrels banned in residential zones where the lots are smaller than an acre. Banned completely are unsupervised fires, fires that obstruct traffic or cause continuous physical discomfort to others, and fires that burn prohibited debris, grass, stubble or vehicles.


Permits are free and are available on the county's website or from fire officials and county councilors. 


- partial excerpt from St. Albert Gazette








SRCWA #2016-106

This message is made possible by the Sturgeon Rural Crime Watch Association in partnership with the Morinville RCMP.

If you have any information in respect to any crime or criminal activity, please call the Morinville RCMP at 
780-939-4550 or Toll Free at 780-459-7689.

IN CASE OF EMERGENCY, PLEASE CALL 9-1-1.

2016 Poster Contest




  - by Dolly Bolen, The Free Press












SRCWA #2016-105

This message is made possible by the Sturgeon Rural Crime Watch Association in partnership with the Morinville RCMP.

If you have any information in respect to any crime or criminal activity, please call the Morinville RCMP at 
780-939-4550 or Toll Free at 780-459-7689.

IN CASE OF EMERGENCY, PLEASE CALL 9-1-1.